€2.5 Million round secured and Astronaut Paolo Nespoli welcomed to the Advisory Board
Involve closed a €2.5M Seed round to boost growth, with astronaut Paolo Nespoli and ex-Google Loon CEO Alastair Westgarth joining the team. Featured in Ansa, Fortune Italia, and Forbes.
Government visit to discuss governmental applications of our technologies
We welcomed Simone Guanziroli and Daniele Pozzi from the Presidenza del Consiglio dei Ministri to discuss our stratospheric technologies and their applications in science, security, and environmental monitoring.
Italian Tech Week: Jonathan met OpenAI’s CEO Sam Altman
This report contains confidential and proprietary information intended solely for the use of the individuals or entities to whom it is addressed. By accessing and reading this document, you acknowledge and agree to maintain the confidentiality of the information contained herein. Any disclosure, distribution, copying, or use of this information without the express written consent of Involve Space is strictly prohibited. Unauthorized dissemination or sharing of this information may constitute a violation of applicable laws and company policies, potentially resulting in legal action and/or disciplinary measures. Please ensure that you handle this information responsibly and in accordance with all relevant confidentiality agreements and regulations.
- Remove the current class from the content27_link item as Webflows native current state will automatically be applied.
- To add interactions which automatically expand and collapse sections in the table of contents select the content27_h-trigger element, add an element trigger and select Mouse click (tap)
- For the 1st click select the custom animation Content 27 table of contents [Expand] and for the 2nd click select the custom animation Content 27 table of contents [Collapse].
- In the Trigger Settings, deselect all checkboxes other than Desktop and above. This disables the interaction on tablet and below to prevent bugs when scrolling.
Foundraising
Ongoing:
- New investment round Closed in August 2024
Value 2 million Euros (Equity, Completed) + 500k Euros (Convertible, In Progress)
Post-money valuation: 10 million Euros.
Investors: Earlybird (lead), CDP Venture Capital, and Plug and Play via Takeoff vehicle (follow on investment), TLI Space, Intesa SanPaolo (convertible loan).
- EIC Accelerator Horizon Europe
Value: Up to 2 million Euros grants + up to 15 million euros investment
Status: Short proposal successfull, full proposal to be submitted by January
- ESA Spark
Value: 150k Euros with partner Nablawave for R&D on the new pressurisation system (including the compressor)
Status: PROPOSAL SUBMITTED
Timing: starts by the end of 2024
- Innowwide
Value: 60k Dollars with Business Development partner Courtney Stadd (Ex NASA)
The project is dedicated to the internationalisation strategy that aims to find commercial opportunities in the US
Status: PROPOSAL SUBMITTED
Timing: starts in May 2025
Marketing
Marketing strategies employed and planned for increased visibility and customer acquisition:
- Participation at Farnborough International Airshow 2024
Uk
July 2024
We showcased Involve at the Italy Pavillon, thanks to Italian Trade Agency and Ministry of Foreign Affairs.
Thanks to this event, our CEO Jonathan Polotto and our COO Claudio Piazzai connected with key industry figures, finding new client lead and partners.


- Rebranding: from Involve Space to Involve
We have rebranded from Involve Space to Involve to reflect our expanding vision. This marks a new chapter as we continue to innovate across various sectors beyond space technology.
- Driving innovation and education across key events
In September, Involve was committed to actively participating in key events across the tech and startup sectors, while also focusing on educational outreach. At Italian Tech Week, we joined global tech leaders to discuss innovation and future trends, fostering new collaborations and opportunities within the international ecosystem. During Rome Startup Week, we showcased our latest innovations and connected with entrepreneurs, exploring the vibrant Italian startup landscape. Additionally, at the SASA Aerospace Forum (SAF), held at ASI, we had the opportunity to present our STEM projects and promote the Da Vinci Caelum Kit, engaging with universities and inspiring the next generation of aerospace professionals.

- Wow
Our CEO Jonathan Polotto had the opportunity to meet and talk with OpenAI’s CEO Sam Altman.

- Involve Investor Party: a day of collaboration and innovation
We welcomed our investors to the Involve headquarters for a day filled with tours, presentations, and meetings. Guests explored our latest technologies and engaged in discussions about the challenges and opportunities that lie ahead.

Hardware (Stratostats®)
Updates on the development and production of hardware, such as stratospheric balloons and other technological devices.
1. Isolated OBC stage from payload stage
Making the OBC stage independent from the lower stage allows to reduce launch team operations that now only have to turn on the OBC stage by means of a security key.
2. New external ballaster
The external ballaster has been redesigned as a unique component, without additional extension. This makes the ballaster more robust and lightweight.
3. New external arm adapter
A new external arm adapter has been designed to also host DVC board. This allows to test DVC board during a Stratostats flight, helping debugging and fastening the testing process.
4. New balloon architecture and material test
A balloon with a new strong material (the one used by Google Loon before) and supporting tendons has been designed, manufactured and tested, assessing feasibility of producing such balloons.

5. Double balloon inflator
A double inflator has been assembled in order to inflate balloons in a shorter time, fastening launch operations.
6. Tested new sealer
A new gore sealer has been tested in order to have a reliable alternative to the currently used sealer. More sealing tests are needed to ensure the new sealer reliability over time and resistance to fatigue.
7. Large 3D printer
To print up to 42 cm x 42 cm x 45 cm, a new 3D printer have been added to the roaster. This is particularly useful to produce larger lifting gas valves, ballasters and compressor adapters.
8. New parachute
A larger parachute has been purchased. The size of the new parachute allows to land a 30 kg payload at a vertical speed below 7 m/s, which is an already tested landing velocity that prevents gondola damages.
9. Testing balloon building
A larger building to test large balloons has been found and inflation and pressure tests are now performed there.

10. First compressor prototype
The compressor identified by NablaWave team as suitable for our application has arrived and is now undergoing a series of tests in NablaWave facilities.

Embedded Systems
- New ballaster valve with feedback line was installed, reducing manual checks during launch operations and ensuring its functioning during flight
- Starting the redesign of the OBC (On-board computer): “RUFUS” (Robust Universal Flight Utility System) is more robust, efficient, scalable, reliable, on a PCB designed and realised ad hoc, the previous version was more cumbersome, unstable, less efficient, non-unified system
- Installed USB cameras on the gondola to better monitor flight conditions
- Designed new lifting gas valve: the new lifting gas valve allows to host more sensors and the valve board can be ordered in huge quantities to realize backup valves.
- Installed 720p video live streaming camera on the gondola

Software
Report on the progress in the development of the software, including improvements and new features of Neurostar® and other related software.:
Neurostar® AI software:
- Schematized the software for mission analysis and created a direct connection to the simulation software
- Implemented a system that accounts for vertical wind components to create a more realistic environment for simulations
- Corrected the thermodynamic model in the hyper-realistic simulator, fixing bugs related to solar heat absorption and internal time passage. Now we also simulated day-night effects.
- Extended the simulation software to satellite constellations. Now you can select the number of balloons and everything starts automatically. When the balloon is 1, it returns to the original software
- Started to study and integrate initial qool algorithms for stratospheric balloon dynamics (lin earizing differential equation, code implementation in Deep RL settings in order to benchmark our previous test).
- Started studies and development of a Landing avoider to calculate the probability of landing in critical areas
- Bayesian optimization research was carried out to determine optimal launch locations and wind estimations.
- Extended the mission analysis software to the case of ballaster with a double concentric balloon. Now, under explicit command, the software calculates the volume of the internal ballaster based on maximum and minimum altitude ranges. The following image shows two short-duration trajectories starting near the launch point. The blue trajectory is the one without control. The balloon is left free to follow the winds both during ascent and in the stratosphere. The red trajectory, on the other hand, is the one controlled by AI (with landing).

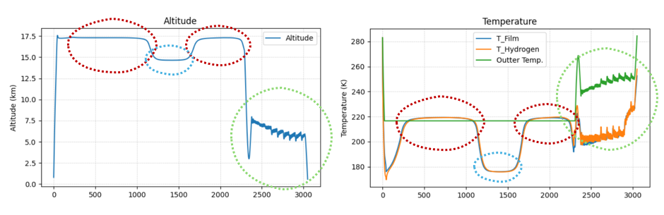
- Thermodynamic model improvements allow for better simulation of altitude fluctuations and thermal dynamics. The following image shows 3 phases in a mission lasting more than 24 hours. The daytime phases are highlighted in red (in which the temperature is maximum, as per the model). The night phases are highlighted in blue (where the temperature is minimum and consequently the equilibrium altitude is lower). In green, however, a calibrated softlanding is carried out where a special filter adjusts the amount of mass to make the balloon descend slowly.

- A very precise simulation system of both the compressor and the material has been implemented. Thanks to these tools, created in collaboration with Nablawave, it was possible to make the simulator even more realistic and to determine the appropriate compressor and the appropriate material for Involve's stratospheric balloons.
- Extended the simulation software to simulate the compressor+air ballast system
- Improvements in simulating flight for extended periods (over 5 days) were tested, and databases longer than 60 days were constructed to support this.
- Introduced generative networks for multi-scenario training, allowing the AI to adapt to various atmospheric conditions
- Development of a user friendly graphical interface for AI training and simulations that allows anyone on the team to train and implement AI. In this way, even in extreme cases, it is always possible to train and build AI

Onboard software
- Valve integration with addition of valve sensors (info on temperature, internal pressure of the balloon)
- Safety cutting system for probe release from the balloon in case of mission abort
- LTE communication system provides photos every 30 seconds with a small control camera
- Implementation of graphs in the dashboard of data such as average horizontal and vertical speed, temperature, altitude, balloon pressure, balloon temperature, satellite signal
- Implementation of controls on connected devices (GPS, sensors, antennas, etc.) to check that they are operational
- Realization of a customized dashboard access for the customer with basic real-time telemetry
- Implementation of the OBC's DDNS system
- Implementation of redundancy saving of telemetry and system logs on an external memory
- Implementation of valve feedback for connection verification
- Implementation of manual opening/closing of the valves
With valves, it means pressurized gas valve of the balloon and ballast release valve of the gondola. Therefore, the systems that allow floating.
Mission control
Upgraded dashboard for flight monitoring:
- Real time remote sensing page: photos captured by the payload while flying are sent to Mission Control Center after some seconds.


- Remote sensing archive: all photos taken are stored in a database accessible on the dashboard.
- 3D live trajectory view: flight trajectory can be monitored in a 3D enviroment, showing ground elevation and presence of buildings.
- Different colors depending on the current control mode of the platform (manual, AI, soft landing): when a maneuver is performed (opening of a valve), a color allows to understand if that maneuver is caused by the manual intervention of an operator, by the AI or by the soft landing algorithm.
Tests and missions
Launch site: Arezzo, Tuscany
11 flight tests/commercial missions carried out last quarter on:
- AI maneuvers
- Balloon behavior
- Real time imaging
- Live streaming
- New balloons with new configuration (tendons)
- New subsystem integrations
- DVC board functionalities
- Chute release
- Fast release
- Collect flight environment data

Overall, out of 11 missions, 5 missions were fully successful:
- 1 full-load lifting test to test remote sensing camera functioning. The balloon reached 6 km but the camera worked fine during the whole flight and relevant thermal data were captured in the telecommunication stage of the gondola.
- 1 full-load lifting test to test a new romboidal gores balloon and chute release device. The balloon reached 19 km and the chute release device worked properly.
- A full workshop + launch about DVC, explaining the principles of functioning, the operations, the gathered data during the flight.
- 1 endurance test of a downsized prototype of the new "tendons balloon", launched from Como and landed near Riva del Garda. This test assessed the feasibility of realizing an launching a balloon with tendons, aimed to reduce stress on the plastic film and bounding its maximum volume.
- 1 full-load lifting test with all systems installed simultaneously. This test was fundamental to assess functioning of real time remote sensing and live streaming from the harsh conditions of the stratosphere. Moreover, AI control logic was consistent with expectations and upgraded soft landing algorithm helped reducing landing speed in the terminal part of the trajectory.
Aborted or failed launches
- Two launches were aborted because the balloon teared after inflation. In particular, when one creek opened, the balloon was pulled down to be repaired but this cause higher stresses on the material, causing new creeks. A tendons structure will be implemented to reduce this problem.
- 1 balloon was able to ascend but reached a low maximum altitude (<1 km) before descending. This happened because the balloon got damaged during transportation, launch operations or flight.
- 2 DVC were lost because the commercial GPS used to track them lost the signal and did not reconnect anymore. To solve the problem a different GPS already used several times is now used.
- 1 DVC was not able to reconnect to internet because of a software bug. It was still recovered using the backup GPS.
Human Resources
NEW HIRES:
Giulia Vrenna
Executive Assistant
Full-time
Como, Italy (Involve Headquarters)
Responsible for CEO and BoD assistance, administrative and fiscal support, PR

Adriano Macarone Palmieri
Machine Learning Specialist
Full-time
Remote, in Rome by 2025
Responsible for Neurostar AI software integration and new algorithms development, under Raoul Vetere (CAIO) coordination

Maurizio Polotto
Balloon Specialist
Full-time
Como, Italy (Involve Headquarters)
Responsible for balloon manufacturing, testing and maintenance, gondola integration, labs management

Ivan Moi
Machine Learning Intern
Internship
Hybrid, Rome
Responsible for Neurostar AI software integration and new algorithms development, under Raoul Vetere (CAIO) coordination

Ongoing hirings during Q4:
- Senior CTO
Full-time
Como, Italy (Involve Headquarters) - Structural Engineer
Full-time
Como, Italy (Involve Headquarters) - Junior Mission Control Manager
Part-time
Como, Italy (Involve Headquarters) - Electronics and Avionics Technician
Full-time
Como, Italy (Involve Headquarters) - Senior Launch Operation Technician
Full-time
Como, Italy (Involve Headquarters) - Andrea Dalla Fini
CFO
Current Heaf of Finance at Sony Europe, Former CFO in private equity funds
Full-time
Como, Italy (Involve Headquarters)
Responsible for financial strategy, budgeting, runway and burn rate management, investors exit strategy

Dismissals or Resignations on Q3
None.
Currently, the full team consists of 25 people, excluding the Advisory Board.

We are interested in
your feedback!
Go to the last page of the report to leave your feedback and questions